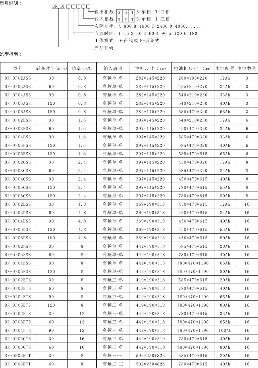
Product center

在线式无缝切换。
适应超宽市电输入范围。
微处理器控制,智能化程度高。
输入功率因数校正。
高效的变频转换模式。
可实现USB、RS232实时监控。
输入指标:
![]()
主路输入
输入额定电压:兼容三相四线380Vac和单相三线220Vac
输入电压范围:单相120Vac~288Vac;
输入额定频率:50Hz/60Hz
输入频率范围:45Hz~65Hz;
输入功率因数:≥0.99(单相输入);≥0.95(三相输入)
输入谐波电流THDi:≤5%
旁路输入
旁路额定电压:兼容三相四线380Vac和单相三线220Vac
旁路电压范围:单相120Vac~276Vac
旁路额定频率: 50/60Hz
旁路频率范围:40Hz~70Hz
旁路过载能力:5mins(105%~125%额定负载)
1min(125%~150%额定负载)
0.5s(150%以上额定负载)
输出指标:
输出额定电压:单相三线220Vac
输出电压精度范围: ±3%
稳压精度:稳态:≤±1%;瞬态:≤±5%
瞬态电压恢复时间:≤20ms
输出额定频率:50/60Hz
输出频率跟踪范围:50/60Hz±5Hz
频率跟踪速率:1Hz/s,可设置
输出频率精度:±0.2%
电压波形失真度:≤3% (线性负载) ≤5% (非线性负载)
过载能力:5mins(105%~125%额定负载)
1min(125%~150%额定负载)
0.5s(150%以上额定负载),过载超时后转旁路供电
输出功率因数:0.9
负载波峰因数:3:1
市电-电池切换时间:0ms
